Las Preguntas más Comunes en SAT Math – Álgebra (Parte 1)
Domina los temas más frecuentes en Álgebra: ecuaciones, funciones lineales y sistemas de ecuaciones
Por Maru Berríos, especialista en preparación para SAT/PAA, fundadora y directora de Honors Learning Center, líder en tutorías en Puerto Rico, fundado en 1992.
Si estás buscando un repaso SAT enfocado en los temas más comunes, esta guía es para ti.
La sección SAT Math abarca muchos temas, pero si la observas con detenimiento, verás que ciertos tipos de preguntas aparecen una y otra vez.
Este artículo no pretende explicártelo todo — porque, seamos honestos, nadie quiere leer un testamento de 500 páginas. Lo que sí vas a encontrar aquí es una guía práctica de los temas que más consistentemente salen en el SAT, con ejemplos paso a paso y estrategias que te ayudarán a reconocerlos al instante.
📌 Y esa es la clave: aunque el SAT puede parecer impredecible, en realidad sigue patrones bastante definidos, y quien practica con intención, pronto aprende a identificarlos.
📊 ¿Qué viene en la sección de matemáticas del SAT?
El SAT evalúa destrezas de matemáticas en estas cuatro áreas:
- Álgebra (~35%)
- Advanced Math (~35%) ⟹ que es más álgebra, pero avanzada
- Problem Solving & Data Analysis (~15%)
- Geometry & Trigonometry (~15%)
Como puedes ver, aproximadamente el 70% del examen se concentra en Álgebra y Advanced Math. Esto quiere decir que, si dominas bien el álgebra de estos dos componentes, ya tienes gran parte del camino recorrido.
¿Qué preguntas veremos en esta primera parte?
En este primer artículo de la serie, nos enfocaremos en preguntas típicas de Álgebra:
🎯 Ecuaciones de una variable
🎯 Ecuaciones lineales en forma y = mx + b
🎯 Sistemas de ecuaciones lineales
Cada ejemplo incluirá dos métodos:
🧮 Uno paso a paso con álgebra tradicional
Uno usando la calculadora Desmos, integrada al examen
Trabajaremos preguntas modelo, con su procedimiento paso a paso, y te mostraremos cómo resolverlas con la calculadora Desmos, una herramienta poderosa e integrada en SAT Math, que puede ayudarte a resolver más rápido y con mayor precisión.
📌 ¿No sabes qué es Desmos o cómo se usa en el SAT?
Te invitamos a leer este artículo:
👉 Tutorial de Desmos: la Calculadora Oficial del Digital SAT
¡Comencemos!
🎯 Preguntas Comunes SAT Math: Resolver ecuaciones de una variable
Uno de los temas más frecuentes en SAT Math es resolver ecuaciones de una variable como esta:
🧮 Con Álgebra
Para resolver, despeja la variable a un lado de la ecuación aplicando la operación opuesta en ambos lados:

La contestación correcta es la alternativa C.
Con Desmos
- Escribe la ecuación original en la línea 1 tal como aparece en la pregunta.
- Desmos trazará automáticamente una gráfica.
- Haz clic en el punto donde la línea cruza el eje de x (el intercepto en x).
El punto de intersección es la coordenada (5,0), lo que nos indica que la solución es 5. La alternativa correcta es la opción C.
💡 Recuerda:
Desmos está integrada en el SAT, así que puedes usarla en toda la parte de matemáticas.
⚠️ Cuidado:
Algunas preguntas del SAT usan variables distintas, como p o q.
Desmos solo acepta las variables x y y, así que cuando entres una ecuación en la calculadora, asegúrate de escribirla usando x o y.
🧠 SAT Tip:
Desmos puede ayudarte a resolver cualquier ecuación.
Escríbela tal cual en Desmos y busca dónde la línea cruza el eje de x (o el de y si la ecuación es en y).
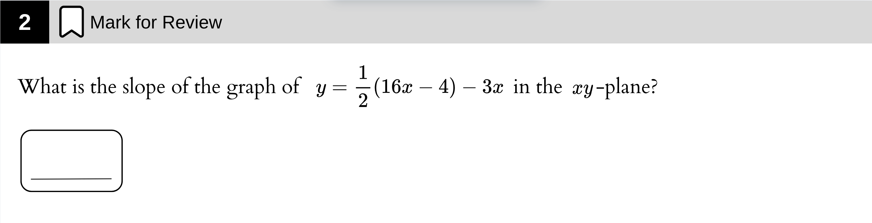
🎯 Ecuaciones lineales en SAT Math de la forma y = mx + b
La forma y = mx + b es conocida como la forma pendiente-intercepto, donde:
- m (el coeficiente de x) representa la pendiente (slope)
- b (la constante) representa el intercepto en el eje de y (y-intercept)
Esta estructura aparece frecuentemente en el SAT.
En este ejemplo, te piden la pendiente (slope).

🧮 Con Álgebra
La pregunta te pide la pendiente, que es el valor de m en la forma y = mx + b. Para encontrarla, simplifica la expresión hasta escribirla en esa misma forma y así identificar la m con facilidad.
La pendiente es el coeficiente m de x. La contestación correcta es 5.
Con Desmos
Desmos puede ayudarte a llegar a la forma y = mx + b de forma rápida y precisa.
Pero es importante dominar el álgebra, porque solo si sabes que lo que necesitas es encontrar el valor de m, sabrás exactamente qué buscar en Desmos.
1. Escribe la ecuación directamente en Desmos, tal como te la dieron.
2. Oprime la rueda de ajustes (Edit List).
3. Selecciona el botón para crear tablas (Create Table).
4. Desmos creará una tabla, y verás a la izquierda un ícono con una línea y 4 puntos.
5. Haz clic en ese ícono para que puedas crear una regresión (Add Regression).
6. Desmos te dará la ecuación de la línea en la forma y = mx + b.
Fíjate únicamente bajo EQUATION (los demás valores no los necesitas). La ecuación aparece como y = 5x − 2. La pendiente es 5 (el coeficiente de x).
💡 Recuerda:
m ⟹ pendiente (slope), el número que acompaña a la x en y = mx + b
b ⟹ intercepto en y (y-intercept), la constante que no tiene variable al lado en y = mx + b
🧠 SAT Tip:
Si tienes dudas para despejar una ecuación que no esté en la forma y = mx + b, entra la ecuación en Desmos.
Haz una regresión para ver la ecuación e identificar m y b.
🎯 Sistemas de ecuaciones lineales en el SAT
Cuando trabajas con un sistema de dos ecuaciones lineales (como los que salen a cada rato en el SAT), hay tres posibles escenarios:
- Una solución: Las dos rectas se intersecan en un solo punto (x, y). Ese punto es la solución del sistema, y te da los valores de x y y que satisfacen a ambas ecuaciones.
- Ninguna solución: Las rectas son paralelas y no se intersecan. Las líneas tienen la misma pendiente, pero distintos interceptos en y.
- Infinitas soluciones: Ambas ecuaciones representan la misma recta, así que se intersecan en todos los puntos.
En el SAT, la mayoría de las veces te pedirán encontrar una solución única, como en la siguiente pregunta.

En esta pregunta nos dicen que existe una solución (x, y), pero solamente piden el valor de y.
🧮 Con Álgebra
Utiliza el método de eliminación, o de combinación lineal, donde la meta es eliminar una variable y despejar para la otra. En este caso, como nos piden la y, queremos eliminar la x.
La contestación correcta es la alternativa D.
Con Desmos
Resolver sistemas de ecuaciones es increíblemente fácil con Desmos. Este debería ser el uso principal que le des a esta herramienta durante el SAT.
- Escribe ambas ecuaciones en Desmos.
- Haz clic en el punto (x, y) donde se intersecan las líneas.
- Desmos mostrará (2, 4) como la intersección. Esa es la solución.
Te piden solamente la y, así que la contestación correcta es 4, la alternativa D.
🧩 ¿Y si el sistema no tiene solución?
A veces el SAT no te pide resolver el sistema, sino determinar cuántas soluciones tiene: una, ninguna o infinitas. En estos casos, Desmos puede ayudarte a verlo en solo segundos.
Con Desmos
1. Escribe ambas ecuaciones en Desmos.
2. Observa las rectas en la gráfica.
3. Verás dos líneas paralelas que no se intersecan en ningún punto.
La respuesta correcta es la A, porque el sistema no tiene soluciones (no solution = zero solutions).
💡 Recuerda:
Una solución ⟹ una intersección en (x, y)
Ninguna solución ⟹ ninguna intersección (líneas paralelas)
Infinitas soluciones ⟹ infinitas intersecciones (una línea encima de la otra)
🧠 SAT Tip:
¿El mejor uso de Desmos en el SAT? Resolver sistemas de ecuaciones — ¡incluso los que no son lineales!
📚 Lo que sigue en la serie de SAT Math
Estos ejemplos son solo una muestra de los tipos de ejercicios de preguntas que verás con más frecuencia en el SAT. Por supuesto, existen muchos estilos de pregunta dentro de estos mismos temas, y cada uno puede presentarse de distintas maneras.
A primera vista parecerán preguntas distintas, pero si te fijas bien, son variaciones de los mismos conceptos clave. Lo importante es que, mientras más practiques, más fácil te será reconocer los patrones que el SAT repite una y otra vez.
📘 En el próximo artículo de esta serie, trabajaremos con preguntas típicas de Advanced Math.
➡️ Haz clic aquí para leer la Parte 2.
🎓 Prepárate para el SAT con el apoyo de un coach experto y estrategias comprobadas
En Honors Learning Center ofrecemos el Honors Review, nuestro repaso para SAT online, especializado y 100% personalizado. Trabajamos de manera individualizada contigo, explicándote paso a paso cómo reconocer cada tipo de pregunta y entrenándote con estrategias efectivas.
Además, te enseñamos a dominar Desmos SAT, para que se convierta en una de tus herramientas más poderosas durante el examen.
También ofrecemos tutorías online para estudiantes en Puerto Rico, Estados Unidos y América Latina, adaptadas a las necesidades y al ritmo de cada estudiante.
✨ ¡Y lo mejor: te explicamos en tu idioma, ya sea español o inglés!
¿Estás listo para alcanzar el éxito académico?
Regístrate ahora y descarga la GUÍA: ¡Descifra el SAT y la PAA! - Las 3 estrategias para las partes de Matemáticas que NECESITAS conocer
No enviamos SPAM. Tu email está seguro con nosotros.
